T R U T O N
The Rational Unified Theory Of Nature

by Kalman Klim Brattman
Give me the simplest form of matter and motion,
and I will build, out of them, the world of Nature.
TruRoad
"Give me matter, and I will construct a world out of it."
Immanuel Kant, Kant's Cosmology
("Universal Natural History and Theory Of Heavens")
2. Trutonism: The Philosophical Doctrine of TRUTON


PRENA
prena cloud

For the purpose of this page, we define the preexisting Nature (Prena) as being a unique primeval given entity made up of some specific primeval ingredients (yet to be identified) that will develop as a result of a cause or an agent (yet to be discovered) into various structures and formations (yet to be discovered). A primary task of TRUTON is in finding out HOW Nature was born out of its preexisting state (Prena) and then, to discover HOW and WHY Nature has developed in the way it did.
Was there a rationality or logic dictated by some objective that Nature had to follow for its development? And if so, What was that reason and rationale for that development to take place?
Tesla on God
In short, we want to discover WHY the "things" in Nature are in the way they are and not of some other way. To tackle those rather insurmountable issues, we need first to establish a philosophical foundation on which TRUTON will be operating.

 SENPER_Sense Perception We begin with the simple but fundamental observation that Nature has an absolute existence that is independent from our own (human) existence. Nature's actual reality and independent existence derived from our sense perceptions (senpers) could not always be able to be recognized correctly. Our existing senpers could lead us to a deformed representation of Nature. A simple example is provided by the optical or visual illusions that our eyes can perceive certain images that could in fact be totally different from the reality of Nature.

That uncertainty that our senpers can generate false readings is quite troublesome if we want to relay blindly on them in formulating our theories of Nature. Yet in spite of that inherent danger, Physics' course --so far-- has been based entirely on that "visual" approach: from observations and experiments, we make generalizations on which we attempt to formulate the theories of Nature.

HeisenbergIt was Werner Heisenberg however, as stated in the previous page, who noted that when we are attempting to study Nature at its most fundamental level of existence --the atomic and subatomic level, inherent uncontrollable large perturbations will occur regardless how careful our experiments and observations are. As such, because of that high degree of uncertainty that our experimental data will produce, those results must be rendered useless in our theoretical work.

exclamation
                                                    point COLIMIn TRUTON, UBOF that covers Nature's frontier at its bottom level of existence (i.e., at its atomic level) has a companion at Nature's upper level (i.e., at the cosmic level) to be introduced much later in the Cosmic Observational Limit (COLIM).
Because of those observational limitations, in TRUTON, experimental data derived from the various observations and experiments will never ever be part of an argument, proof, or conclusion. At best, experimental and observational work can answer only to the HOW, but never ever it can entertain the WHY. And in TRUTON, the WHY is its centerpiece.

That fundamental recognition that Nature's existence is completely detached from the human's sense perceptions (senpers) is now marked into
 TACON
The Second Foundational Universal Recognition Of Nature (2nd FURON): 
On The Autonomous Character of Nature (TACON)

Nature's existence is not function of human's sense persemtions.

Remarks:
The Theory of Sense Perceptions (TOSPs), regardless how interesting it may be, it needs not be part of Physics. Observational frames of reference (borrowed from the coordinate systems employed in Mathematics) that have entered into the mainstream theories of Physics were designed to explain how we, humans, perceive certain things in certain situations. Real forces have been substituted with virtual, apparent, fictitious forces in "explaining" real phenomena and forces of Nature such as the centrifugal effect, Corrilois effect, or the inertial effect.
Those sense perceptions
"explanations" and "theories," that are based on the introduction of virtual work or virtual fictitious pseudo-phenomena, have no place whatsoever into a rational theory of Nature. Sense perception theories need not belong to Physics, as their proper place must be somewhere else, such as in the theories of magic and illusions, of human sense perceptions, of experimental psychology --in general or of psychophysics --in particular.

Trutonism
Trutonian
A
True Rational Unified Theory Of Nature (TRUTON) needs be free of those subjective, human perception contaminants. And that trutonian approach is the essence of Trutonism.

The subjective characteristic of observing motion varies indeed with the frame of refernce that is referenced to. An observer in one reference system can have a different visual perception from an observer residing into a different reference system. But all that human perception business, as stated, is not a subject of Physics.

Isaac Newton recognized that playing with various frame of references would not advance in any way our understanding of Nature. As such, for the study of Nature, Newton recognized that the subjective characteristic in dealing with motion needs to be replaced with an absolute characteristic free of subjective contaminants.
As such
, Newton introduced the concept of an absolute space as being a mental visualization of a 3-dimensional container where Nature would reside. And that absolute space introduced by Newton, by being a mental entity, was devoid of any physical property and thus it was not able, in any way, to contaminate and distort Nature's inherent properties. And since motion was an integrant part of Nature, Newton associated (from his absolute space) an absolute frame of reference that again would not be able to interact and thus distort Nature's inherent characteristics of its existence.
In that way
, all the theoretical work resulted from that absolute setup of Newton were able to remain true to Nature's real characteristics of existence. Thus, the only thing that could be challenged now, using Newton's approach, was the reasoning of certain arguments, but nothing else.

In TRUTON, we indeed re-embrace that approach envisioned by Newton that was abandoned by the current "modern" trend of Physics.
Here
, we may want to note that in modern times, the only Mechanics (as part of Physics) to dispense with the relative observational frames of reference for its studies of Nature (and thus implicitly embracing Newton's approach), is the Continuum Mechanics. That mathematical Mechanics (which, in essence, is a tensor Mechanics) was currently elevated by the work of the late Johns Hopkins University professor Clifford Truesdell and his disciples to the name of Rational Mechanics.

(Arguably, out of TRUTON, it could emerge the birth and the development of Rational Physics, Rational Astronomy/Cosmology, and that of Rational Chemistry. In here, in that context, "rational" is being differentiated from "empirical" and not from "irrational.")


Clifford Truesdell
Clifford Truesdell
Rational
                                                      Mechanics

 


On the Mind's Evolving Abstract Capability

Mind's Metaphysical Scholium
The Mind's foundational logic of reality conforms with Nature's modus operandi and thus to its logic of operation.

Proof:

The nervous system of all living creatures cannot be separated from Nature's modus operandi as they are the products of Nature's existence and the human's nervous system is no exception.

The Mind's logic of the modern humans (the Homo Sapiens) evolved and developed from Man's desire to conquer Nature. Thus, the creation and perfecting the tools needed to overcome Nature was the singular most important motor of evolution of the human Mind. To create those tools, the human Mind was assimilated therefore with Nature's logic of operation. Continuing on that path of evolution, the human Mind's logic was build on Nature's logic of operation as only in that way the modern humans were able to outsmart and outmaneuver Nature.

Nature's logic of operation is devoid of intelligence being in this sense dogmatic. (Because of that, expressions referring to the "cleverness" of Nature are nonsensical.) Man's Mind, on the other hand, possesses intelligence (and thus, cleverness) that is capable of using it for the man's quest of conquering Nature. And that quest is only possible if the Mind's foundational logic function on the same "wavelength" with the one of Nature.

QED.


metacon
Mind
's Metaphysical Conjecture (Metacon)
The Mind's abstract thinking is unlimited both in its range and in its development.

Prooflet*:

One of the key difference between the evolved human Brain and the rest of the living creatures of Nature is that the human Mind is able to think in abstract that is defined as the mental process capable of separating ideas from objects and representing those abstractions through symbols.

Humlan


(By the way, the development of the human language (humlan) is a primal product of the abstract thinking.)

The abstract thinking, by its very nature, has no limit in its depth of how far it can travel. A great barometer of how far the human Mind's abstract thinking has evolved and traveled is provided by the advanced higher Mathematics whose objects --the mathematical objects-- are all, par excellence, abstract.
There is nothing
, but absolutely nothing, precluding the Mind's abstract thinking continue to evolve and expand.

prooflet

* Note: Conjecture is a proposition that is unproven, but appears to be correct and supported by a reasoning encapsulated in the newly introduced word "prooflet."

QED.


With these preliminaries on the capability of our Mind of operating on the same "wavelength" with the one of Nature and of its unlimited potential for the abstract thinking, let us turn our attention to TRUTON.

As already stated, the primary object of TRUTON is to discover the rationality of Nature's modus operandi (i.e., to discover WHY the "things" in Nature are in the way they are and not in some other way). As we have seen from the above preliminaries, our Mind is fully capable for that task.

Indeed, our Mind was able to decipher the many "secrets" of Nature at its macro-level in cosmos or at the ground-level "around" us be it in subjects covered by Biology, Chemistry, or Physics --the mother of all Natural Sciences. However when Physics attempted to probe the micro-level of Nature (vested in the atomic and subatomic structures), it came to an insurmountable impasse, first recognized by Werner Heisenberg, as noted in the previous page. That impasse led "modern" physicists to proclaim --without an iota of evidence-- that that impasse was due to the biological limitation of our Mind, as our Mind --so they say-- was biologically not equipped to comprehend worlds to which we have not been exposed such as the atomic and subatomic worlds.

exclamation point Here, in TRUTON, we will throw out completely the irrational foundation of Quantum Mechanics where strict logical inferences are being bended to allow the introduction of the irrational thinking.
P. A. M. Dirac.P. A. M. Dirac, one of the co-founder of Quantum Mechanics, for instance, pleads with the reader, to allow the introduction of irrationalities (which he calls them "irrelevancies") into the Quantum Theory because, as he argued, our "limited" Mind, in there, can only render a distorted picture of Nature. He articulated that nonsensical out-of-the-blue "principle" in the 1930 Preface to the 1st Edition of "The Principles of Quantum Mechanics" (4th Edition, Clarendon Press, Oxford, 1958, reprinted 1970) as follows:

"[Nature's] fundamental laws do not govern the world as it appears in our mental picture in any very direct way [sic!], but instead they control a substratum of which we cannot form a mental picture without introducing irrelevancies [sic!]." [Emphasis supplied.]


HeisenbergAs already noted, the impasse of Particle Physics, as brilliantly recognized by Heisenberg (through his Uncertainty Principle), made us to question not the biological ability of our evolved Mind to comprehend Nature at its most fundamental level of existence, but to question the reliability of the experimental work in Particle Physics, and thus implicitly of the dilemma whether a better and more reliable method can be found in deciphering Nature at its very foundation of existence.

As we know, so far, Physics has been employing since inception one, and only one, method of discovering "things" --that being the inductive method where through observations and experiments, we attempt to create inward theoretical links and generalizations that eventually will end up as our theories of Nature.

(Pure) Mathematics, on the other hand, discovers its "things" exactly in the opposite way to Physics, using the deductive method: it starts with some primary proposition (called axioms) and then, using our deductive rational reasoning and nothing else, derive all its results upwards. Thus, the path of knowledge in Mathematics is an outward or upward path from its bottom-up foundation, while the path of Physics has been, so far, an inward or downward path descending from the observation and experiments into a deeper level of connections.

TRUT
trutonist
trut, truts
truts

 ,

Well, it is the aim of TRUTON to emulate the method of Mathematics and introduce a new theoretical method in studying Nature, called the trutonic or the trutonian method, never employed before, to be modeled, as stated, from the deductive upward method of Mathematics. Physicists that will embrace this newly envisioned method could be called eventually trutonists or trutonians or simply as truts.

Regardless of its particular branch or field, Mathematics is structured into two major parts: the 1st, is the ground-base part vested into a given primeval foundational ground-base part --that define its nature, and the 2nd vested into an ever growing hierarchical deductive body part --that is constructed, ground-up, from the ground-base part exclusively through Mind's rational deductive reasoning and nothing else. TRUTON, as seen from the table below, will follow, in general, a similar pattern to Mathematics in HOW it obtains or gets its results.

In (Pure) Mathematics
In TRUTON

The foundational ground-base part of Mathematics is composed of given primeval axioms and propositions whose origin cannot be questioned because they are given entities. In Mathematics, when creating a particular given foundation for one of its branches or fields, there is no consideration of whether or not such a foundation has a counterpart in the real world --in Nature, as that is an issue of no concern to Mathematics.

There, in Mathematics, the only concern is about logical inconsistencies and nothing else. Thus, in Mathematics the only concern is that of not offending the Mind's logic based on its deductive reasoning.

In Mathematics, the Mind's Common Sense functionality plays no role whatsoever in the creation of its ground-base part.

In TRUTON, the foundational ground-base part deals with two basic primary inquiries involving the ultimate conceived simplicity with respect to
  • the simplest most general (physical) structure that a volume or a domain of Nature can have; and with respect to
  • the simplest general (physical) motion that can possibly exist in Nature.

Common
                                                          Sense
In TRUTON, the Mind's Common Sense plays a pivotal role along with Mind's Logic functionality in the creation of its foundational ground-base part.

As in (pure) Mathematics, no experimental or observation data play any role in this endeavor. However, in TRUTON, unlike Mathematics, an additional concern is being placed of not offending Mind's Common Sense with respect to the simplest primeval general structure and motion that can exist in Nature.

The deductive body-part of Mathematics is vested in its lemmas, theorems, and corollaries that are obtained from its base part through the Mind's rational deductive thinking.

Out of those two basic primeval elements (structure and motion) represing the ultimate "common sense" simplicity that can exist in Nature, the TRUTON's path of discovery is being built from the ground up, as in Mathematics, using exclusively --as its tool-- the Mind's rational deductive reasoning and nothing else. That is to say that no experimental or observational data is permitted to be introduced to supplement the gap of a deductive reasoning argument.


Thus, both Mathematics and TRUTON embrace to the fullest the philosophical foundation of the Rationalism as the Mind's deductive rational reasoning reigns supreme being the exclusive tool in acquiring its results. However all objects of Mathematics are objects of the Mind residing within the Mind as they do not exist in Nature outside of the realm existence of the Mind. As such, Mathematics is inherently embedded into the philosophical foundation of the Idealism while TRUTON is not.

 TRUTOLOGY 
The TRUTON's objects, on the other hand, are the objects of Nature (and not Mind) that are derived to exist regardless of whether or not, we humans exist. Thus, TRUTON --as oppose to Mathematics-- is par excellence embedded into the philosophical foundation of the Materialism. This philosophical blend of Rationalism and Materialism, free of human perception contaminants, embraced by TRUTON, and called Trutonism, will create a new discipline --the Trutology.

 

 On The Role and the Limitation of Mathematics in TRUTON  

As already stated in several places, TRUTON mirrors its deductive method from Mathematics in obtaining its results, but that does not imply that TRUTON will use Mathematics, per se, in obtaining its results. In fact, in TRUTON, it is the other way around. The results of TRUTON can be formalized in the language of Mathematics, but never ever the other way around: Mathematics can never ever by allowed to create TRUTON's results and thus be ahead of TRUTON's physical reasoning and inferences. In TRUTON, Mathematics, at best, will vest TRUTON's results in the formalized language of Mathematics and nothing else.

Never ever will TRUTON accept a result of Mathematics that was not first inferred from a physical reasoning associated to the reality of Nature in compliance with our given and cultivated Common Sense. And that is simply because an abstract mathematical reasoning and result, as oppose to a physical reasoning and result, springs either from from an abstract mathematical foundation unrelated to the reality of Nature, or from a willy-nilly speculative foundation that could have nothing in common with the reality of Nature!

Another major limitation of Mathematics when studying Nature is that through mathematical formulas and inferences, we never ever are able to discover the rationale of Nature's existence, i.e., WHY phenomena of Nature are in the way they are and, WHY they are not of a different way.

Newton's Gravity FormulaAs an example for illustration, let's take a look at the celebrated Newton's formula expressing the law of gravitation presumed to be universal for all the masses of Nature. That empirical law (expressed through the mathematical formula at left) states that each point mass (m1) attracts every single other point mass (m2) by a force (F) whose magnitude is proportional to the product of the two masses and inversely proportional to the square of distance (r) between them, with G considered to be a constant, called the gravitational constant, that is being added to the stated formula.

Another example is the similar to gravity, the Coulomb's Law:



From that presentation, we do not have a clue WHY that gravitational (or electrical) force
F or that gravitational constant G do exist in the first place. Nor do we have a clue HOW that gravitational (or electrical) force F is being transmitted in space nor do we have a clue WHAT that constant G actually represents in Nature. And to this very day, we do not have a rational answer to those fundamental questions on gravity or electricity much less, as stated, WHY gravity or electric charges exists in the first place!

 

 Tesla-Einstein
 
Science advances one funeral at a time." Max Planck
On the Demise of Einstein's Special and General Theories of Relativity
:   
 Rejecting Irrational, Willy-Nilly, Implanted Pillars as Foundations for the Theories of Nature  

Einstein's relativistic
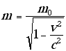
                                        mass formulaA foremost simple example in this regard is furnished by the relativistic mass formula (at left) with m0 being the invariant rest mass, of Einstein's Special Theory of Relativity (STR). From that truly lunatic theory, a mass (m) would increase its value through motion, and nothing else, reaching the infinie value at the speed of light (c)!
.BTW, Einstein's willy-nilly postulate that nothing can reach or exceed the speed of light (c) is based not out of some Physics consideration, but was placed by Einstein so that his relativistic formulae to be able to have a meaningful mathematical sense!

Albert Einstein, Mental
                                                        Illness Probe














                                                        #1

Albert Einstein:

Mental Illness Probe
Photo Exhibit 1
That hocus-pocus creation of mass out of Nothingness (an entity devoid of everything but its own existence) is something that no magician was ever able to devise or even contemplate. If mass, in reality, would have increased its value to the point of becoming infinite when it reached the speed of light (c), then the elementary particles (say, the protons) in an accelerator whose speeds can reach closely to the speed of light (c) would have become enormously heavy! No such a thing has ever been observed much less seriously considered to actually take place by the builders of particle accelerators.

Albert Einstein,
                                                        Mental
                                                        Illness Probe
                                                        #2

Albert Einstein:

Mental Illness Probe
Photo Exhibit 2
.
What is even more astonishing is that Einstein's preposterous idea of mass increase with velocity has been able to stay in the books of Physics for over a hundred years to the present day with no meaningful opposition. Goodness!, what a sorrow state of existence the current "modern" Physics has achieved under the cloak of the God-like cult figure of Albert Einstein that has become untouchable...
  potaMy goodness, mentally ill (non compos mentis) people, followed by intellectually brainwashed or deceitful ones, have been paving the way of the "new," modern Physics --the Physics Of The Absurd (POTA). What a sad, tragic, and truly astonishing turn of events has been taking place in the long and torturous path of Physics --the mother of all Natural Sciences.

Albert Einstein Derailing and Ushering Physics into an Unfathomable Dark Age Era of the Abyss...

.

 

Albert
                                                          Einstein,
                                                          Mental
                                                          Illness Probe
                                                          #3

Albert Einstein:

Mental Illness Probe
Photo Exhibit 3
.Arguably, one could make the case that no other person has harmed more the interest and the development of Physics than Albert Einstein with his relativity theories emerged perhaps from his acquired mental Schizophrenia illness (interpreted nowadays as a manifestation of his "genius" intellect notwithstanding the contradictory record available).
.Indeed, asides from his mediocre to poor scholarly grades and his inability to speak until the age of 3 --signs inconsistent with a "genius" intellect, substantial behavioral evidence is available pointing into a different direction for Albert Einstein --that towards of a mental illness. Exhibits 1, 2, 3, 4, 5 posted herein, may perhaps add support towards that conclusion.
.There is indeed strong behavioral evidence that Einstein suffered from a form of mental illness consistent with Schizophrenia that makes it hard:
     * to tell the difference between what is real and what is not;
     * to think clearly and logically;
     * to have normal emotional responses; and,
     * to act normally in social situations

                                                                                            
einstein
                                                    deranged
Apparently, Einstein's Schizophrenia unfortunately was further transmitted to one of his sons, Eduard (who lived most of his adult life in the Burghõzli Psychiatric Clinic/Sanatorium in Zürich, Switzerland, where he died) and, perhaps also transmitted to his only daughter, Liesserl, who died in infancy.

Albert
                                                          Einstein,
                                                          Mental
                                                          Illness Probe
                                                          #4
Albert Einstein:
Mental Illness Probe
Photo Exhibit 4
.What really is missing is the actual clinical medical record of Albert Einstein which is stringently guarded by the Einstein Estate of not, God forbid, be made public...

An abbreviated extract of his medical record could be found here from the Medical Hypotheses (1994) Journal:

Albert Einstein,
                                                      Mental
                                                      Illness Record
..............................................................................
Albert Einstein:
Mental Illness Probe
Table Exhibit 5
from

As already
noted, there is nothing, but absolutely nothing out there, at the macro level, that could dethrone the Newtonian Mechanics and replace it with Einstein's General Theory of Relativity (GTR). Indeed, for instance, the two major observational tests attributed to support Einstein's GTR were
.1) one, with respect to explaining the peculiar perihelion precession of Mercury's orbit, and
.2) the other, with respect to predicting the deflection of light by the Sun.

which with ease can be explained, from the principle of Classical (Newtonian) Physics and nothing else, as follows:

1. The fundamental error that exists in Einstein's GTR, when dealing with the perihelion precession of Mercury's orbit, is that there, the Sun is being considered to be a homogeneous spherical mass which in reality it is not.
Today
, we know that the Sun's mass and distribution is far from being homogeneous, being in fact of an enormous complex structure --that of a hot non-homogeneous plasma interwoven with magnetic fields.
To this
, if we add a recent observational finding and recognition that the Sun is not quite spherical, as its poles are flattened, then we begin to appreciate that the anomalies of Mercury's orbit are a direct reflection of that physical complex reality and nothing else.
All that was first recognized in April 1982
, at the University of Arizona, USA, by Professor Henry A. Hill in collaboration with Dr. Philip A. Goode and the graduate student Randall J. Bos and, reported by Hill of those results before the Royal Astronomical Society of Dublin.

2. As with respect to the deflection of light by the Sun (or by any other massive mass), that will result from our theory of gravity presentation that is based on the principles of Classical Physics and nothing else.

exclamation pointEinstein's purported theory of gravitation is based on his lunatic theory of General Relativity, where it is postulated (sic!) that gravity is the result of a geometry (i.e., of a metric) of his absurd concocted spacetime concept purported to represent the physical space of Nature.

That so-called spacetime continuum structure introduced by Einstein's theory, fusing Space and Time into one single substratum is an utterly absurd concept because, as already noted, such an union can never ever generate a continuum in the mathematical sense nor in any other coherent rational sense. That is because the parameter "time" can never ever be fused, in a meaningful way, with a parameter that is of a different nature to form a continuum. To have a combination of parameters forming a continuum, all of its parameters must be of the same nature!


No God Here


In TRUTON, the origin and the mechanism of
gravity is fully explained from Classical Physics using our given rational deductive reasoning free of willy-nilly speculations. Also, as we shall see, in TRUTON, gravity is shown to be affected by the caloric field radiation. A "hot or caloric" plasma objects and the "cold" ones, will generate around them different value levels of gravity.

The "hot" plasma objects, like the stars, will attract themselves --by gravity-- only beyond (or outside) an inner buffer zone surrounding them. Inside that buffer zone, the "hot" objects will be able to overcome --by the outward caloric field-- the force of gravity and, in there are, rather than attraction, there is repulsion! Yes, the antidote of gravity is the caloric field radiation!
By the way
, that is WHY stars, due to their repelling caloric field radiation, will never ever be able to be crunched in by gravity. On that score, we are safe!

Arguably, a temperature-sensitive Cavendish experiment with "hot" and "cold" objects can show how gravity is being influenced by the caloric field radiation...


And finally to keep you no longer in suspense, we will be able to reveal, as we advance much further with TRUTON, for instance, that the electron's behaviour resemble that of stars where at short range, they are repellant due to a buffer zone that is being created around them.

As for the protons, we shall be able to see that they are the sole generators of gravity! And speaking of protons, their binding in forming atomic nuclei does not require the introduction of the speculative, willy-nilly, so-called, strong force purported to be and to represent a fundamental force of Nature. No such a thing exists in Nature! And that is because, as we shall see, at short range, protons do not repel but attract themselves! And that is because protons are "energy holes" that create suction around them until they become "saturated."

Protons when they become "bloated," by capturing an electron (that is an "energy peak"), will --under certain conditions to be described-- transform themselves into neutrons becoming, as such, the first composite particles of Nature.


Well, we better stop here with our foretelling, as perhaps we already said too much. Until reaching those momentous findings, we still have some distance yet to travel, so let us continue to finish with this page.

God not found

As we have seen from the previous page and from the example above (from the many examples that can be supplied), the current "modern" Physics has changed course in a most dramatic way departing from the long tradition of Natural Sciences that were created and developed on the foundation of rational thinking --the Rationalism, abandoning that cherished philosophical foundation and replacing it with the unthinkable-- the Irrationalism.

Absurdoism
absurdocist
Absurdonics
Therefore, the philosophical blend of the "new" Physics of today is a blend of Materialism with Irrationalism. We call that philosophical blend the Absurdoism, to be contrasted with the Trutonism.

ABSURDO


With the introduction of the "absurdo" lingo, we now can rename such a theoretical "modern" physicist with perhaps a more appropriate name --the absurdocist (or absurdoist), to be contrasted with a trutonist (or a trut).
The new
"absurdo" Physics employing, at its foundation, the Absurdoism is being called Absurdonics. An absurdonic view or argument is based on the Absurdonics foundation.

 

Steven Weinberg

On The Fallacy of the Absurdoism and Absurdonics
Steven Weinberg
.The Absurdoism, as stated above, is the school of thought embraced by the "modern" physicists (that could be called the absurdocists) who argue on the foundation that the human Brain is biologically limited and not sufficiently evolved to comprehend, in a rational basis, the atomic and subatomic substratum of Nature on the grounds that the human Brain has had no prior experience with that world or with deep abstraction outside of our everyday material world [sic!].

  

Steven Weinberg
Steven Weinberg:
Dogs cannot
be taught
Calculus...
[sic!]
Steven WeinbergOne of the foremost vocal proponent of such absurdonic view has been the late 1979 Physics Nobel Laureate, Steven Weinberg, who for decades has made the argument that similarly as the dogs cannot be taught calculus no matter how hard we will try, we humans --because of the biological limitation of our brains-- will never be able to grasp, on a rational basis, the intricacies of the atomic and subatomic worlds [sic!]. As such, the introduction of irrationalities in Quantum Mechanics are considered to be a forced necessity.
Brian Greene cat
                                                  argument
Brian Greene
Brian Greene:
Cats cannot
be taught
Relativity...
[sic!]

And for the Relativity --the other concocted theory purporting to represent Nature, a similar absurdonic argument has been circulated, substituting now the dogs with the cats, as illustrated by the popular "modern" science peddler Brian Greene! Of course, that menagerie can be expanded at will, to accommodate similar "deep" insights, as needed.
Quab
Going back to the Quantum Mechanics (to be renamed now Quantum Absurdonics or simply as the Quab), is an ad hoc mathematical theory devoid of Physics, that incorporates, at its foundation, speculations over speculations at will. As such, to that mechanics of the absurd (MOA), by adding, at its foundation, another willy-nilly speculation, this time on the biological limitation of the human Mind, that could seamlessly be absorbed and incorporated.

Thank goodness that mathematicians did not embrace that view as they still continue, unabated, to regard the human Mind as reigning supreme in its ability to discern most complex and highly abstract problems. The history of Mathematics is full of celebrated such problems that have remained unresolved for a number of decades, if not centuries. For instance, hilbert unsolved problemsthe famous 23 Hilbert's problems facing Mathematics published in 1900, have not all been solved to this day and, the ones that were solved took decades to see their final proofs. oincare conjectureThe famous Poincare conjecture in Topology published in 1904, is another example. And that conjecture was able to be resolved only in 2002! fermat last theorem Another famous example is the conjecture of Pierre de Fermat of 1637. That conjecture in number theory, known as the Fermat's Last Theorem, despite countless efforts, was able to be resolved successfully only in 1995, thus 358 years later. The list of spectacular problems in Mathematics can go on and on as it is long indeed... At no time however, the capability of the human Mind was ever been questioned.

quabThe current "modern" Particle Physics vested in the current Quantum Mechanics (renamed as Quantum Absurdonics or Quab) is based, as noted, on the cockamamy that the human Mind's abstract thinking is biologically limited and, as such, it cannot comprehend, in a logical rational way, the Nature at its most fundamental level of existence --that of the atomic and subatomic structures. mophysThe ground invoked for that cockamamy by those "modern" physicists (mophys) is, as stated, that humans were never exposed and thus, had no prior experience with that world and, as such, the human brain is not capable of advancing logical inferences outside the world of which we have no experience and which we cannot observe. Tell that cockamamie to a mathematician and see, for yourself, the answer that you may get after the insanity is being ruled out!


Feynman of
                                                  quantum mechanics
                                                  irrationality

MITONRemark: Richard Feynman's candid observation of the challenges to be found in Quantum Mechanics (QM) leads to the recognition that QM is, par excellence, a murky irrational theory of Nature (MITON) whose irrationality, with ease, can be shared with Einstein's lunatic Theories of Relativity.

THIS is the first time in history of science when MITONs were being incorporated into the scientific theories of Nature, as a necessity, on the preposterous ground of the purported biological limitation of the human Mind in not being able to grasp the deepest intricacies of Nature which now is being proclaimed to be an Absurd entity [sic!].
                                                                                        feiman: nature
                                                    is absurd

PAPHYThe particle physicists (PAPHYs) of today --the absurdocists, will eventually become extinct and, a new generation will emerge and reverse course via a trutonic movement, bringing back Physics to its golden historic path where logical rational inferences, free of willy-nilly speculations, will again reign supreme.

TRAP A neoclassical advanced Physics --the Trutonian Rational Advanced Physics (TRAP) will eventually emerge putting back, at its center stage, Isaac Newton's celebrated words "Hypotheses non fingo" (Latin for "I feign no hypotheses"). That dictum, will again reign supreme when studying and deciphering the secrets of Nature and is being elevated now into
The Preponderance Principle Of Causality (PPOC)
 PPOC

In TRUTON, no result could be of a speculative or mathematical nature nor could it be derived from our visual perception or from irrational ad-hoc arguments.
Causality of a physical phenomenon should always have roots in physical rather than mathematical arguments and be free from ad hoc speculations.

PLONThat is to say that physical laws of Nature (PLONs) should always take precedence over anything else in explaining a physical phenomenon.

Physics, and not Mathematics, should stand at the basis of all TRUTON's results, and nothing else.

That is to say that physical, and not mathematical, rational deductive reasoning should stand at the basis of all results of TRUTON, and nothing else.

Remark: The beauty and the elegance of Mathematics is with no equal in its presentation and its formalism. As such, the results of TRUTON can indeed be dressed with the elegant garments that only Mathematics can provide, but that is all!
The reverse of this however, can never ever be allowed to happen
: Mathematics can never be allowed to exceed its boundaries and inject in TRUTON results that were not first vented through its physical considerations. "Naked" mathematical results can never ever be allowed to reside and find a place in TRUTON!

Our biological Mind is just fine, and fully capable, for that ultimate task of discovery as pursued by Newton's predecessors and his many illustrious followers. That reversal of the current "modern" path of studying Nature is of paramount importance if we want to remain true to ourselves and true to the search of discovering Nature's true modus operandi...

Max Planck

   

Max Planck
is looking
at you...
In that regard, Max Planck's reflective and poignant recognition is as current as ever:
"A new scientific truth does not triumph by convincing its opponents and making them see the light, but rather because its opponents finally die, and a new generation grows up that is familiar with it."

as well as this:
Plank: Science
                                                          advances one
                                                          funeral at a
                                                          time.
good riddance  Two science funerals are indeed in order: one, for Einstein's Special and General Relativity theories and the other, for the Quantum Mechanics. Good riddance to both of them!

WARNING:

In today's climate and scientific world, einsteinone cannot enter and pursue a career in Physics, Chemistry, or Astronomy, if one does not subscribe to Einstein's Relativity theories as he is now an untouchable God-like cult figure. Today, to dethrone Albert Einstein cult figure, from the Pedestal of Physics that it has been created, is synonymous to dethrone the created imaginary God cult figure from the Pedestal of Religion...

The same fate will follow if you resist or question the other tenets of "modern" Physicsblack
                                                          holes --the Big-Bang cosmological theory or the particle principles of Quantum Mechanics... All those tenets have one common denominator which is, that they all are bonded together through irrational speculative thinking and interwoven with advanced gibberish mathematics (gibmath) to look very scientific...

As such, to continue in here with our uncharted journey, the peril procced with caution and, at your own discretion and risk as

the ideas presented in TRUTON could be dangerous and/or in conflict to your career and/or to your present state of mind...

And, as the late Paul Marmet noted,

"Physics is not only a science, but is a doctrine. Therefore, there are heretics. It is not different from Galileo's time!"

The peril that one can face in attempting to challenge the science establishment was perhaps best articulated by James E. Lovelock who in the book edited by John Brockman, "Doing Science: The Reality Club," Toronto, Prentice Hall Press, 1991, p. 178, noted this in his "Small Science" article:

God Help
                                                          Us

" ... In recent years, the "purity" of science has been ever more closely guarded by a self-imposed inquisition called the peer review.
... Like the inquisition of the medieval church, it has teeth and can wreck a career by refusing funds for research or by censoring publications.
"

.

      
Bratu Klim, webmasterBratu Klim, webmaster

Kalman Klim Brattman